第一種電気工事士 過去問
令和7年度(2025年) 上期
問5 (一般問題 問5)
問題文
このページは閲覧用ページです。
履歴を残すには、 「新しく出題する(ここをクリック)」 をご利用ください。
問題
第一種電気工事士試験 令和7年度(2025年) 上期 問5(一般問題 問5) (訂正依頼・報告はこちら)
正解!素晴らしいです
残念...
MENU
あ
か
さ
た
な
は
ま
や
ら
あん摩マッサージ指圧師
1級管工事施工管理技士
1級建築施工管理技士
1級電気工事施工管理技士
1級土木施工管理技士
運行管理者(貨物)
2級ファイナンシャル・プランニング技能士(FP2級)
3級ファイナンシャル・プランニング技能士(FP3級)
貸金業務取扱主任者
危険物取扱者(乙4)
給水装置工事主任技術者
クレーン・デリック運転士
ケアマネジャー(介護支援専門員)
国内旅行業務取扱管理者
社会保険労務士(社労士)
大学入学共通テスト(国語)
大学入学共通テスト(地理歴史)
大学入学共通テスト(公民)
大学入学共通テスト(数学)
大学入学共通テスト(理科)
大学入学共通テスト(情報)
大学入学共通テスト(英語)
第三種電気主任技術者(電験三種)
宅地建物取引士(宅建士)
調剤報酬請求事務技能認定
賃貸不動産経営管理士
2級管工事施工管理技士
2級建築施工管理技士
2級電気工事施工管理技士
2級土木施工管理技士
JLPT(日本語能力)
建築物環境衛生管理技術者(ビル管理士)
問題文
このページは閲覧用ページです。
履歴を残すには、 「新しく出題する(ここをクリック)」 をご利用ください。
第一種電気工事士試験 令和7年度(2025年) 上期 問5(一般問題 問5) (訂正依頼・報告はこちら)
正解!素晴らしいです
残念...
この過去問の解説 (1件)
01
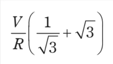
線間電圧がV〔V〕の三相交流電源のY結線の抵抗負荷とΔ結線の抵抗負荷の電力を供給する電路に関する問題です。
全ての抵抗がR〔Ω〕である時、線電流I〔A〕を求めます。
単相3線式の電路の電流はV/Rなので、そこに三相部分を掛け合わせると、三相交流電源の電流値が求まります。
三相部分は、線電流はY結線は、√3になり、Δ結線はその逆数で1/√3となります。
それらの和と単相部分の電流を掛け合わせたV/R(√3+1/√3)が答えとなります。
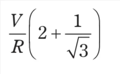
誤:計算結果と異なります。
誤:計算結果と異なります。
正:計算結果と合致します。
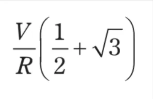
誤:計算結果と異なります。
三相交流電源の電流値を求める問題でした。
線電流なのでY結線では、そのままの値になります。
Δ結線では、回路をみて分かる通り、分流するため小さくなることが分かると思います。
√3なのは、それぞれがなす角60°になっている為です。
参考になった数11
この解説の修正を提案する
前の問題(問4)へ
令和7年度(2025年) 上期 問題一覧
次の問題(問6)へ